Mini LED_Micro LED 封裝無鉛錫膏焊料深圳福英達分享:基于Micro-LED照明的量子點顏色轉換特性
Mini LED_Micro LED 封裝無鉛錫膏焊料深圳福英達分享:基于Micro-LED照明的量子點顏色轉換特性
錫膏_焊錫膏_超微焊料_助焊膏生產商-深圳福英達是一家集錫膏、錫膠及合金焊粉產、銷、研與服務于一體的綜合型錫膏供應商, 是工信部焊錫粉標準制定主導單位,產品涵蓋超微無鉛印刷錫膏,超微無鉛點膠錫膏,超微無鉛噴印錫膏,超微無鉛針轉移錫膏,超微無鉛免洗焊錫膏,超微無鉛水洗錫膏,高溫無鉛焊錫膏,中高溫焊錫膏,低溫無鉛焊錫膏,7號錫膏、8號錫膏,低溫無鉛超微錫膠,中高溫無鉛錫膠,各向異性導電膠,金錫錫膏,金錫錫粉,多次回流無鉛錫膏,激光無鉛錫膏,微間距助焊膠,高溫無鉛錫膏,低溫錫鉍銀錫膏,低溫無鉛高可靠性錫膏,無鉛焊膏錫鉍銀錫膏/膠,SAC305錫膏,低溫高可靠性無鉛錫膏&錫膠,無銀&錫銅錫膏,超微焊粉,Low alpha無鉛焊料,Low alpha高鉛焊料,SMT粉,定制焊料。擁有從合金焊粉到應用產品的完整產品線,可制造T2-T10全尺寸超微合金焊粉的電子級封裝材料。

摘要
Micro-LED的量子點顏色轉換具有高亮度、高效率和寬色域的優勢,在顯示領域具有廣闊的應用前景。建立了 Micro-LED照射下的量子點單體模型和陣列模型,對量子點顏色轉換的出射光譜、發光效率、發光角度等光學特性進行了研究。首先在Light Tools中建立 CdSe/ZnS量子點單體模型,設置模擬光源面、量子點膜層與探測器,仿真結果表明紫外 Micro-LED激發量子點產生的三色光在色域方面優于藍光光源,且紅色和綠色量子點顏色轉換效率更高。同時,隨著激發光源發光角度的增大,出射光場整體照度分布均勻性提高,紫外區域漏光減少。建立 6×6的量子點單體陣列模型,比較添加微結構和未添加微結構的兩種陣列模型發光效果,通過分析真彩圖和照度圖發現,具有微結構的量子點陣列的出射光場邊緣清晰、顏色邊界鮮明,適用于高畫質屏幕的使用。
關鍵詞
Micro-LED;顏色轉換;光學特性;微結構
1、引言
當前,社會已經進入了大數據的時代,手機、平板等電子設備正在迅速普及發展,屏幕承擔了信息獲取和交換的功能。隨著技術的進步,人們對屏幕的信息獲取效率、信息傳遞的質量甚至是人的視覺感知效果的要求也在逐步提高。高畫質是屏幕顯示技術進步的原動力,分辨率、色域以及對比度等參量是判斷畫質的主要依據。Micro-LED是尺寸最小的自發光顯示器件,有著高效率、低功耗、高集成度、高穩定性等諸多優點,且體積小、靈活性高、易于拆解與合并,能夠應用于現有從小尺寸到大尺寸的任何顯示應用場合中。
通過將陣列化的 Micro-LED等發光器件集成在有源尋址驅動基板上,可以實現對每個器件的單獨控制和點亮,從而使顯示器輸出圖像的分辨率達到理論上的最大值。發光方式對于對比度的影響非常明顯,主動發光的顯示技術,例如有機發光二極管顯示( OLED)和 Micro-LED,可以實現每個像素的亮度控制,在理論上可以做到對比度無窮大。而以液晶顯示( LCD)為代表的被動發光顯示技術性能略低于 OLED和 Micro-LED。在諸多實際應用中, Micro-LED顯示比 LCD和 OLED能發揮出更優異的顯示效果。
在顯示器的色域方面,背光以及熒光物質的選擇是決定性因素, LCD-TV的色域基本在 72%左右,隨著 100%色域 OLED的出現,LCD-TV開始逐步改進 LED熒光粉來提高色域,由 YAG粉到 RG粉再到 KSF粉,LCD電視的色域提高到了 96%,但一直未超過 OLED的色域。為了在色域指標上趕超 OLED,SONY公司和 TCL公司均推出了量子點技術電視。相較于熒光粉發光,量子點激發光譜窄且對稱、雜光少、激發顏色更接近CIE規定的三原色,采用量子點的顯示器色域可達110%。
量子點是一類由 Ⅱ-Ⅳ族或 Ⅱ-Ⅵ族元素組成的尺寸大約為 1~10 nm的材料。不同尺寸的量子點有不同的熒光效應,可激發出不同顏色的光場。一般來說,隨著粒徑的減小,其對應激發光譜主要波長變短。與傳統的熒光染料相比,量子點的尺寸可調,熒光的發射、激發帶寬都覆蓋了從紫外到紅外的光譜區域,發射光譜形狀窄且對稱,有極好的光穩定性及生物相容性。因此,量子點顯示技術在激光電子、顯示屏幕及生物醫學等領域研究中有極大的應用前景。
綜上,將基于 Micro-LED的微型主動發光顯示技術與量子點顏色轉換技術相結合,并構建新型微結構,對于顯示技術向高畫質方向的發展有著重要的意義。因此,本文建立了基于 Micro-LED的量子點單體模型和陣列模型,仿真模擬了量子點顏色轉換的物理過程,研究分析了量子點顏色轉換過程中輸出光場的色域、照度等光學特性。
2、量子點薄膜顏色轉換原理
量子點顏色轉換過程中,材料一般以薄膜的形式存在,入射光照射到量子點薄膜時激發量子點發光,入射光場在薄膜中的傳播流程如圖 1所示。當光場離開薄膜前未擊中量子點材料,光場會直接透射過量子點薄膜質且傳播方向不變;當光場擊中量子點材料但未被量子點材料吸收時,入射光會發生散射,光場改變方向后在薄膜中繼續傳播;被吸收的入射光,則會參與到量子點的顏色轉換進程中。當量子點吸收光子,對應激發能級超過帶隙時,材料電子由基態躍遷到激發態,與空穴形成激子,電子 -空穴對以輻射復合或無輻射復合的方式將能量釋放,在輻射復合過程中產生了光子,在無輻射躍遷的過程中釋放熱量。不同種類量子點材料的帶隙不相同,所以激發反應時所需要吸收的光子能量也不盡相同,這與量子點的材料結構性質有關。圖2為光在量子點材料中的傳輸過程示意圖,d為膜層厚度。


入射量子點薄膜的激發光源主要采用藍光和紫外光,其激發光的中心波長分別為 450 nm和 395 nm。由于量子點顆粒的平均尺度遠小于激發光波長的十分之一,因此光源打在量子點薄膜上所產生的散射主要為瑞利散射。瑞利散射的物理過程可表示為

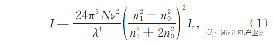
其中 I為散射光強, Ir為入射光強, λ為入射波長, n1、 n0為粒子和分散介質的折射率, ν為單個粒子體積, N為單位體積內粒子數目。(1)式說明量子點散射光強與入射光波的頻率的四次方成正比。另一方面,瑞利散射光強也隨著觀察方向而變化,其空間光強分布可表示為

式中 I0是 α = π/2方向上的散射光強。(2)式表明不同方向上所獲得散射光強不同,瑞利散射特性的仿真模擬如圖 3所示。

3、基于 Micro-LED的顏色轉換模型
課題組基于電視屏幕背光項目進行研究,主要選材為市場中較為常見的量子點材料 CdSe/ZnS,采用 Light Tools軟件構建上述的量子點模型。在量子點材料模擬中,量子點的激發光譜及發射光譜可以通過用戶自定義材料模塊進行導入,在模擬不同量子點材料時,需要設置新的用戶材料,將量子點對應參數導入到材料屬性中,包括粒子大小,激發、發射光譜等參數。出射光為三原色的量子點粒子半徑分別為 4. 6nm(可激發紅色光),3. 1 nm(可激發綠色光),1. 25 nm(可激發藍色光),圖 4(a)~(c)分別為紅、綠、藍三種顏色的激發光譜曲線,圖 5(a)~(c)為其對應的發射光譜曲線,圖 6為量子點參數設置示意圖。在LightTools中將薄膜的材料設置為對應的量子點材料,完成量子點薄膜的建立。
光源 Micro-LED模型則采用近朗伯光型的虛擬面光源進行模擬,并選用紫外光與藍光兩種波長作為對照,圖 7為兩種光源的激發光譜圖。將兩種光源的光譜數據導入光譜區域選項卡中完成光源波長的設置,圖8為光源參數設置示意圖。
最后在 Light Tools中選擇米散射模式進行模擬,在該模式下散射模式會隨著粒子大小在米散射和瑞利散射之間自動切換。利用以上所述方法構建 Micro LED與量子薄膜的單體和陣列顏色轉換模型,并進一步探究光源、結構和量子點材料等參數對于屏幕發光特性的影響。
4、單體量子點模型的發光特性
單體量子點轉換模型包括光源、量子點轉換膜層和探測器三部分,如圖 9所示。采用單位尺寸為 35 μm的正方形虛擬面作為光源出光面,并用側面積相等的長方體模擬量子點薄膜層,在薄膜層上方設置虛擬平面,用探測器接收發光數據。為了便于數據分析,設置光源的功率為 1W。
4. 1光源波長的影響
目前在屏幕顯示領域,量子點的背光有紫外光和藍光兩種。之所以選擇藍光與紫外光作為激發光源來進行研究,是因為在對量子點激發光譜進行分析時,一般會選擇峰值較高的波長作為激發波長來檢測發射光譜。可以發現圖 7中兩種光源的波長395 nm和 450 nm都在圖4所示的激發光譜范圍內,且相對于其他波長這兩種光源波長的在光譜中的響應度都較高。采用紫外光作為背光光源,需要通過紫外光 LED激發三種量子點產生三種顏色光,而采用藍光進行照射則只需要激發兩種量子點。采用紫外光的優點是工序統一,激發效率高,模組整齊,便于加工。而采用藍光則可以減少一種量子點的使用,且不會有紫外光泄露照射人體。為了研究光源對顏色轉換的影響,課題組建立理論模型,采用不同光源進行發光模擬,保證在激發過程中量子點薄膜的厚度和質量密度占比相同。
對紅色量子點薄膜設置 395 nm紫外光和 450 nm藍光作對照模擬,觀察量子點像素塊的發光特性。兩組模擬真彩圖如圖 10(a)和( b)所示,紫外光激發量子點 CdSe/ZnS薄膜出射光比藍光激發出射光顏色對比度高,顏色更亮。圖 10(c)為兩組的探測器光譜分布曲線,在膜厚為 5 μm時,紫外光激發紅光量子點的功率為藍光的 1. 25倍左右;而藍光在激發的同時,有一部分穿過薄膜直接出射,導致激發紅光飽和度降低。
對綠色和藍色的 CdSe/ZnS量子點薄膜同樣設置紫外光和藍光光源的激發模擬,其真彩圖和探測器光譜圖如圖 11和圖 12所示。藍光 LED照射綠色量子點薄膜,部分藍光依然可以穿透量子點薄膜,造成光源飽和度降低和透光現象;而紫外光照射綠
色量子點薄膜,直接透射光功率小且轉化波長功率更大,表現優于藍光光源。在藍色量子點薄膜模擬中,藍色光源由于不存在激發轉化出射這一過程,所以探測器檢測的藍光的光譜功率要遠大于紫外光照射量子點激發出的光功率。在對量子點等受激發光物質進行檢測時,一般會確定物質的發射波長,然后掃描物質的激發光譜,并選擇峰值較高的波長作為激發波長對量子點材料進行激發。從圖4 CdSe/ZnS的激發光譜可以看出,與藍光相比量子點對于紫外光的響應更高,所以在模擬不同波長的光源照射紅、綠量子點時,紫外光對應的探測器照度功率更高。
4. 2光源發光角度的影響
不同發光角度的 LED所出射的光在量子點膜層中的傳播過程不同,模擬發光角度不同的光源照射量子點薄膜的情況,對出射光譜和探測器照度分布進行研究。采用紫外光 LED作為激發光源,功率為 1W,設置變化間隔為 15°,發光角度 α大小變化范圍為 0°~90°的 LED,此處的 0°采用垂直出射的面光源模擬,觀察接收器上不同顏色量子點激發光的光譜特性。
圖 14(a)~(c)分別為紅、綠、藍三種顏色量子點薄膜的探測器接收光譜,圖 15(a)~(c)為圖 14(a)~(c)光譜曲線紫外區域的放大示意圖。相同功率的紫外光照射紅、綠、藍三種量子點,其出射光對應光譜峰值功率依次下降。每種量子點材料均有少量紫外光發生透射,且在 0°到 90°范圍內,隨著發光角度的增大,直接透射的紫外光略有減少。90°發光角度下直接透過光譜功率約為 0°發光角度下透光功率的 80%,由于紫外直接透射的功率數值較小,其隨發光角度的變化對總功率以及色域的變化影響不大。
用探測器接收量子點出射光,并對探測器接收的照度數據設置平滑分布,研究發光角度對照度的影響。圖 16為單體量子點薄膜出射光在探測器上的照度示意圖,(a)為紅色量子點出射光在探測器上的照度分布,從左到右對應的光源發光角度 α分別為 0°、30°、60°、90°,(b)、(c)分別為綠色和藍色量子點薄膜的發射光在探測器上的照度分布,對應入射光源發光角度與紅色量子點相同。由于平滑處理將數據相近的區域連通,可以發現在各角度光源下探測器中心照度均大于邊緣照度。紅綠藍三種量子點在相同功率光源照射下,紅色量子點出射光在探測器上的照度最大,藍色量子點的出射光在探測器上的照度值最小,與圖 14(a)~(c)光譜曲線趨勢一致。由于入射光功率較小,所以角度變化過程中,照度分布變化并非十分明顯,但與光源垂直出射情況相比,發散角為 90°時探測器的中心區域照度分布有相對均勻的趨勢。采用不同發光角度的 Micro-LED照射綠色和藍色量子點薄膜,其照度分布情況與紅色量子點的照度規律一致,中心照度的均勻性隨著發光角度增大而增加。

錫銀銅SAC錫膏 錫銀銅 SACS錫膏 錫鉍銀SnBiAg錫膏 錫鉍銀銻SnBiAgSb錫膏 錫鉍銀SnBiAgX錫膏 錫鉍SnBi錫膏 BiX 錫膏 金錫AuSn錫膏 錫銻SnSb錫膏 含鉛 SnPb錫膏 各向異性導電錫膠 微間距助焊膠

5、陣列微結構量子點的發光特性
陣列模型是單個模型的重復排布,采用單位顯示屏色彩趨向標準化、提高細膩度,避免文字尺寸為35 μm正方形模擬,建立 6×6光源矩陣及圖標邊緣出現鋸齒感、彩邊現象以及屏幕色彩偏量子點薄膜模型,在矩陣中心位置放置探測器接移。所以設置陣列模型,將不同顏色的量子點的收量子點薄膜陣列的出射光,如圖 的方式進行顏色分隔,如圖 17(b)所示。在顯示 5陣列微結構量子點的發光特性屏幕分布中,將三種原色依次間隔排列,可以確保陣列模型是單個模型的重復排布,采用單位顯示屏色彩趨向標準化、提高細膩度,避免文字和尺寸為 35 μm正方形模擬,建立 6×6光源矩陣及圖標邊緣出現鋸齒感、彩邊現象以及屏幕色彩偏量子點薄膜模型,在矩陣中心位置放置探測器接移。所以設置陣列模型,將不同顏色的量子點的收量子點薄膜陣列的出射光,如圖 17(a)所示。像素按照條紋形狀依次間隔排列,如圖 17(c)對于量子點材料薄膜,可以采用放置網格微結構所示。
設置三種顏色量子點的紫外光源強度,使三種圖和探測器照度如圖 18?19所示。圖 18為未加微量子點出光照度基本一致,圖 17(a)結構下的真彩結構網格的陣列時三種顏色量子點薄膜發光的彩圖,其通過薄膜的出射光的出射角度較大。紅、綠色量子點在材料邊緣產生相同顏色的模糊,而藍色對應量子點材料邊緣不僅有藍光模糊,還存在相鄰兩側量子點發出的紅綠兩種顏色的模糊光。圖 19為三種顏色量子點的探測器照度圖,可以看出每一個單體的發光邊緣都連接在一起,且邊緣寬度較大。
圖 20和圖 21為圖 17(b)結構下的探測器真彩圖和照度分布圖,當采用微結構網格來分隔量子點材料時,每一個材料單元出射光的顏色都分界鮮明。圖 20中三種量子點的出光都不存在雜光,尤其是藍色量子點薄膜周圍區域不再有存在顏色混雜的情況,這可以使藍光的色坐標向遠離紅綠色坐標方向移動,略微擴大色域范圍。由圖 21可知,添加微結構后每一個單體量子點發光邊緣清晰,單元間存在間隔。采用微結構分隔量子點材料使發光像素更規整,由此可見,網格的使用可以讓屏幕的畫質在各方面都有一定提升。
由以上模擬可以看出,微結構的使用對于量子結構和添加微結構時量子點陣列的光場分布示意點陣列的光場分布有改良作用。圖 22為未添加微結構和添加微結構時量子點陣列的光場分布示意圖。未加微結構的情況下,探測器的真彩圖顯示紅、綠色量子點的單體薄膜邊緣有相同顏色的模糊,這是由于量子點薄膜受紫外光激發后,出射光的光場分布范圍超出了薄膜尺寸。同時,藍色量子點的薄膜周圍有藍、紅、綠三種顏色的模糊光,這是由于藍光的波長依然處于紅綠兩種量子點的激發光譜范圍內,所以當紫外光激發藍色光以后,出射的藍光再入射進相鄰顏色的量子點材料中,對紅綠量子點進行了二次激發,如圖 22(a)所示。微結構之所以可以改善量子點陣列的發光情況,使陣列的顏色更清晰,是因為微結構采用的吸收材料或反射材料將不同顏色的量子點薄膜在所處平面中分離開來,如圖 22(b)所示。網格結構讓量子點單體的發光范圍盡可能約束在其本身尺寸內,避免不同量子點單體的發光區域重疊,減少藍光進入相鄰量子點產生二次激發,從而改善量子點陣列中不同顏色之間亮度不均勻以及顏色摻雜的情況。
6、結論與展望
采用 Micro-LED作為光源,基于量子點的發光特性,根據實際參數設計了單體和陣列的量子點顏色轉換模型。通過改變光源特性和機械結構等參數,對量子點薄膜的出光特性進行模擬仿真。仿真結果表明,對于單體的量子點薄膜在不同光源照射下,紫外光對于紅色和綠色量子點的激發功率更高,同時采用紫外光作為直下式背光的屏幕比藍光背光屏幕的色域更廣。以相同功率光源照射量子點,紅綠藍三種量子點的激發功率依次減小,并且隨著發光角度增大,量子點薄膜出光照射到探測器的中心平均照度更強,整體照度分布更均勻,光源透過功率更小。對于陣列光源,機械微結構對量子點薄膜的發光形狀起到了一定的限制作用,應用于屏幕顯示中可以避免顏色混雜,使屏幕的每個像素塊顏色分界鮮明、邊界清晰。
論文作者:王樂然,李富琳,孫毅軒,劉曉杰,楊磊 ,謝洪波 ,深圳福英達整理
期刊:激光與光電子學進展 (2021年12月)

深圳市福英達20年以來一直深耕于微電子與半導體封裝材料行業。致力于為業界提供先進的焊接材料和技術、優質的個性化解決方案服務與可靠的焊接材料產品。提供包括COMS封裝無鉛錫膏、LED微間距低溫封裝無鉛錫膏錫膠、LED微間距中溫高溫封裝無鉛錫膏錫膠、LED微間距低溫無鉛高強度錫膏錫膠、倒裝芯片封裝無鉛焊料、FPC柔性模塊封裝無鉛錫膏錫膠、植球/晶圓級植球助焊劑、凸點制作無鉛錫膏、PCBA無鉛錫膏錫膠、車用功率模塊封裝無鉛錫膏錫膠、車載娛樂封裝無鉛錫膏錫膠、車用LED封裝無鉛焊料、車載MEMS封裝無鉛焊料、MCU封裝無鉛焊料、車載攝像頭封裝無鉛焊料、軌道交通用IGBT封裝錫膏錫膠、基帶芯片系統級封裝無鉛錫膏錫膠、存儲芯片高可靠封裝無鉛錫膏錫膠、射頻功率器件封裝錫膏錫膠、多次回流封裝無鉛錫膏錫膠、物聯網安全芯片封裝無鉛焊料、支付芯片系統級封裝無鉛焊料、物聯網身份識別封裝無鉛焊料、MEMS微機電系統封裝無鉛錫膏錫膠、射頻功率器件無鉛錫膏錫膠、芯片封裝無鉛錫膏錫膠、攝像頭模組封裝專用無鉛錫膠、簡化封裝工藝免洗無鉛錫膏/錫膠、高可靠性水洗無鉛錫膏、低溫高強度無鉛錫膏/錫膠、便于返修的無鉛錫膏產品、高性價比無鉛錫膏方案、高可靠高溫Au80Sn20焊料、高可靠Low alpha 高鉛封裝焊料、高可靠水洗無鉛焊料、醫療設備高可靠性封裝無鉛錫膏錫膠、醫療設備系統級封裝無鉛焊料、復雜結構激光焊接無鉛錫膏錫膠、精密結構低溫封裝無鉛焊料解決方案。以及mLED新型顯示各向異性導電膠、mLED新型顯示微間距焊接助焊膠、mLED新型顯示高強度細間距錫膠、mLED新型顯示微間距低溫無鉛焊料、mLED新型顯示微間距SAC305錫膏、SMT低溫元器件貼裝錫膠、SMT低溫元器件貼裝無鉛錫膏、SMTSAC305系列無鉛錫膏、SMT微間距助焊膠、Low α無鉛焊料、SiP水洗無鉛錫膏、SiP無鉛無銀焊料、Low α高鉛焊料、MEMS水洗激光無鉛錫膏、MEMS低溫高可靠性無鉛錫膠、MEMS低溫高可靠無鉛錫膏、MEMS多次回流無鉛焊料、MEMSAu80Sn20金錫焊膏、功率器件高鉛焊料、功率器件水洗無鉛錫膏、功率器件無鉛錫膏、功率器件Au80Sn20金錫錫膏解決方案。

返回列表