納米錫添加物對無鉛錫膏的影響

http://m.xinyiae.com/
納米錫添加物對無鉛錫膏的影響
錫銀銅錫膏是半導體封裝行業最常用的的無鉛錫膏之一。SAC錫膏具有中等焊接溫度,適應各種中溫條件運作的元器件。焊接完成后的焊點可靠性一直都是業界熱議的話題。在進行熱老化后,傳統的SAC錫膏強度會迅速退化。原因在于焊點和PCB界面出現大量脆性IMC Cu3Sn生長。IMC是影響焊點可靠性的重要因素。隨著老化時間增加,IMC厚度逐漸增加使得焊點出現脆性斷裂。
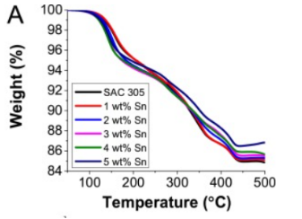
近些年出現了許多關于納米顆粒的討論。研究者試圖了解添加納米顆粒對焊料性質的影響。有實驗發現加入Sn納米顆粒使錫膏出現第二個吸熱峰,即納米顆粒熔解, 且峰值隨著顆粒添加量增加而增加 (Wernicki & Gu, 2020)。此外熔化范圍也隨著添加量增大而增大。Wernicki 和 Gu后續實驗發現納米復合焊料熔化后還會生成一個不同于SAC錫膏和Sn納米顆粒的吸熱峰,表示了SAC合金與Sn納米顆粒之間產生了相互作用并形成新的合金。并且隨著加熱的進行,納米復合錫膏有著更好的重量保持能力 (圖2)。
圖1: 添加了納米顆粒的錫膏及其差示掃描量熱結果。納米顆粒熔化生成第二個吸熱峰(Wernicki & Gu, 2020)。
圖2: 不同納米顆粒添加量的SAC305錫膏TGA分析 (Wernicki & Gu, 2020)。
納米添加物對焊點可靠性能起到改善作用。Atieh et al. (2019)在SCAN-Ge071-XF3+錫膏中加入10wt%的Sn納米顆粒 (粒徑<150nm)。實驗結果表明,添加了Sn納米顆粒使該錫膏最高強度得到了提升,并在機械沖擊測試中表面良好。除了Sn納米顆粒,還有很多其他類型的納米顆粒可以用于優化錫膏性能并改善焊點可靠性。例如,Chellvarajoo et al. (2015) 研究了Fe2NiO4納米顆粒對SAC305錫膏的影響。結果發現在SAC305焊料中添加2.5wt% Fe2NiO4納米顆粒后,IMC厚度減少了 59%。
深圳市福英達工業技術有限公司采用全新的復合焊料方法。在錫鉍合金中加入了多種元素的納米顆粒,有效抑制了Bi偏析,從而減緩了IMC生長速度和避免了脆性焊點的形成。歡迎咨詢和了解相關錫膏產品。
參考文獻
Atieh, A.M., Abedalaziz, T.J., AIHazaa, A., Weser, M., Al-Kouz, W.G., Sari, M.S., & Alhowemi, I. (2019), “Soldering of Passive Components Using Sn Nanoparticle Reinforced Solder Paste: Influence on Microstructure and Joint Strength”, Nanomaterials, 9(10),1478.
Chellvarajoo, S., Abdullah, M.Z., & Samsudin, Z. (2015), “Effects of Fe2NiO4 nanoparticles addition into lead free Sn–3.0Ag–0.5Cu solder pastes on microstructure and mechanical properties after reflow soldering process”, Maters & Design, vol.67, pp. 197–208.
Wernicki, E., & Gu, Z.Y. (2020), “Effect of Sn nanoparticle additions on thermal properties of Sn-Ag-Cu lead-free solder paste”, Thermochimica Acta, vol. 690.

返回列表